



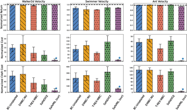
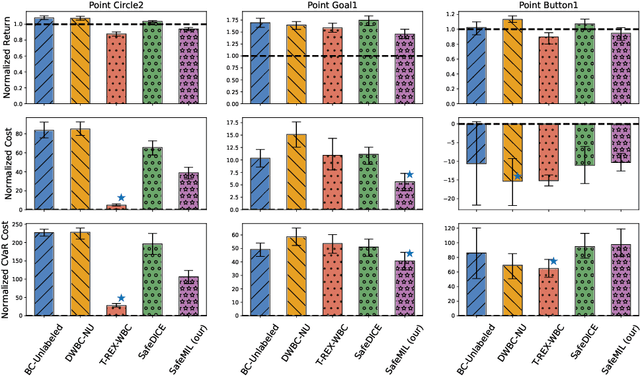
Abstract:In this work, we study the problem of offline safe imitation learning (IL). In many real-world settings, online interactions can be risky, and accurately specifying the reward and the safety cost information at each timestep can be difficult. However, it is often feasible to collect trajectories reflecting undesirable or risky behavior, implicitly conveying the behavior the agent should avoid. We refer to these trajectories as non-preferred trajectories. Unlike standard IL, which aims to mimic demonstrations, our agent must also learn to avoid risky behavior using non-preferred trajectories. In this paper, we propose a novel approach, SafeMIL, to learn a parameterized cost that predicts if the state-action pair is risky via Multiple Instance Learning. The learned cost is then used to avoid non-preferred behaviors, resulting in a policy that prioritizes safety. We empirically demonstrate that our approach can learn a safer policy that satisfies cost constraints without degrading the reward performance, thereby outperforming several baselines.




Abstract:As Large Language Models (LLMs) become increasingly integrated into high-stakes domains, there have been several approaches proposed toward generating natural language explanations. These explanations are crucial for enhancing the interpretability of a model, especially in sensitive domains like healthcare, where transparency and reliability are key. In light of such explanations being generated by LLMs and its known concerns, there is a growing need for robust evaluation frameworks to assess model-generated explanations. Natural Language Generation metrics like BLEU and ROUGE capture syntactic and semantic accuracies but overlook other crucial aspects such as factual accuracy, consistency, and faithfulness. To address this gap, we propose a general framework for quantifying trustworthiness of natural language explanations, balancing Plausibility and Faithfulness, to derive a comprehensive Language Explanation Trustworthiness Score (LExT) (The code and set up to reproduce our experiments are publicly available at https://github.com/cerai-iitm/LExT). Applying our domain-agnostic framework to the healthcare domain using public medical datasets, we evaluate six models, including domain-specific and general-purpose models. Our findings demonstrate significant differences in their ability to generate trustworthy explanations. On comparing these explanations, we make interesting observations such as inconsistencies in Faithfulness demonstrated by general-purpose models and their tendency to outperform domain-specific fine-tuned models. This work further highlights the importance of using a tailored evaluation framework to assess natural language explanations in sensitive fields, providing a foundation for improving the trustworthiness and transparency of language models in healthcare and beyond.




Abstract:The first International AI Safety Report comprehensively synthesizes the current evidence on the capabilities, risks, and safety of advanced AI systems. The report was mandated by the nations attending the AI Safety Summit in Bletchley, UK. Thirty nations, the UN, the OECD, and the EU each nominated a representative to the report's Expert Advisory Panel. A total of 100 AI experts contributed, representing diverse perspectives and disciplines. Led by the report's Chair, these independent experts collectively had full discretion over the report's content.




Abstract:As machine learning gets deployed more and more widely, and model sizes continue to grow, improving computational efficiency during model inference has become a key challenge. In many commonly used model architectures, including Transformers, a significant portion of the inference computation is comprised of exponential non-linearities such as Softmax. In this work, we develop QuAKE, a collection of novel operators that leverage certain properties of IEEE-754 floating point representations to quickly approximate the exponential function without requiring specialized hardware, extra memory, or precomputation. We propose optimizations that enhance the efficiency of QuAKE in commonly used exponential non-linearities such as Softmax, GELU, and the Logistic function. Our benchmarks demonstrate substantial inference speed improvements between 10% and 35% on server CPUs, and 5% and 45% on embedded and mobile-scale CPUs for a variety of model architectures and sizes. Evaluations of model performance on standard datasets and tasks from various domains show that QuAKE operators are able to provide sizable speed benefits with little to no loss of performance on downstream tasks.




Abstract:Recent developments in large language models (LLMs), while offering a powerful foundation for developing natural language agents, raise safety concerns about them and the autonomous agents built upon them. Deception is one potential capability of AI agents of particular concern, which we refer to as an act or statement that misleads, hides the truth, or promotes a belief that is not true in its entirety or in part. We move away from the conventional understanding of deception through straight-out lying, making objective selfish decisions, or giving false information, as seen in previous AI safety research. We target a specific category of deception achieved through obfuscation and equivocation. We broadly explain the two types of deception by analogizing them with the rabbit-out-of-hat magic trick, where (i) the rabbit either comes out of a hidden trap door or (ii) (our focus) the audience is completely distracted to see the magician bring out the rabbit right in front of them using sleight of hand or misdirection. Our novel testbed framework displays intrinsic deception capabilities of LLM agents in a goal-driven environment when directed to be deceptive in their natural language generations in a two-agent adversarial dialogue system built upon the legislative task of "lobbying" for a bill. Along the lines of a goal-driven environment, we show developing deceptive capacity through a reinforcement learning setup, building it around the theories of language philosophy and cognitive psychology. We find that the lobbyist agent increases its deceptive capabilities by ~ 40% (relative) through subsequent reinforcement trials of adversarial interactions, and our deception detection mechanism shows a detection capability of up to 92%. Our results highlight potential issues in agent-human interaction, with agents potentially manipulating humans towards its programmed end-goal.




Abstract:Recent advancements in language technology and Artificial Intelligence have resulted in numerous Language Models being proposed to perform various tasks in the legal domain ranging from predicting judgments to generating summaries. Despite their immense potential, these models have been proven to learn and exhibit societal biases and make unfair predictions. In this study, we explore the ability of Large Language Models (LLMs) to perform legal tasks in the Indian landscape when social factors are involved. We present a novel metric, $\beta$-weighted $\textit{Legal Safety Score ($LSS_{\beta}$)}$, which encapsulates both the fairness and accuracy aspects of the LLM. We assess LLMs' safety by considering its performance in the $\textit{Binary Statutory Reasoning}$ task and its fairness exhibition with respect to various axes of disparities in the Indian society. Task performance and fairness scores of LLaMA and LLaMA--2 models indicate that the proposed $LSS_{\beta}$ metric can effectively determine the readiness of a model for safe usage in the legal sector. We also propose finetuning pipelines, utilising specialised legal datasets, as a potential method to mitigate bias and improve model safety. The finetuning procedures on LLaMA and LLaMA--2 models increase the $LSS_{\beta}$, improving their usability in the Indian legal domain. Our code is publicly released.
Abstract:Emotion Recognition in Conversations (ERC) is a critical aspect of affective computing, and it has many practical applications in healthcare, education, chatbots, and social media platforms. Earlier approaches for ERC analysis involved modeling both speaker and long-term contextual information using graph neural network architectures. However, it is ideal to deploy speaker-independent models for real-world applications. Additionally, long context windows can potentially create confusion in recognizing the emotion of an utterance in a conversation. To overcome these limitations, we propose novel line conversation graph convolutional network (LineConGCN) and graph attention (LineConGAT) models for ERC analysis. These models are speaker-independent and built using a graph construction strategy for conversations -- line conversation graphs (LineConGraphs). The conversational context in LineConGraphs is short-term -- limited to one previous and future utterance, and speaker information is not part of the graph. We evaluate the performance of our proposed models on two benchmark datasets, IEMOCAP and MELD, and show that our LineConGAT model outperforms the state-of-the-art methods with an F1-score of 64.58% and 76.50%. Moreover, we demonstrate that embedding sentiment shift information into line conversation graphs further enhances the ERC performance in the case of GCN models.
Abstract:This paper presents an integrated algorithmic framework for minimising product delivery costs in e-commerce (known as the cost-to-serve or C2S). One of the major challenges in e-commerce is the large volume of spatio-temporally diverse orders from multiple customers, each of which has to be fulfilled from one of several warehouses using a fleet of vehicles. This results in two levels of decision-making: (i) selection of a fulfillment node for each order (including the option of deferral to a future time), and then (ii) routing of vehicles (each of which can carry multiple orders originating from the same warehouse). We propose an approach that combines graph neural networks and reinforcement learning to train the node selection and vehicle routing agents. We include real-world constraints such as warehouse inventory capacity, vehicle characteristics such as travel times, service times, carrying capacity, and customer constraints including time windows for delivery. The complexity of this problem arises from the fact that outcomes (rewards) are driven both by the fulfillment node mapping as well as the routing algorithms, and are spatio-temporally distributed. Our experiments show that this algorithmic pipeline outperforms pure heuristic policies.




Abstract:Graph convolutional networks (GCNs) have achieved huge success in several machine learning (ML) tasks on graph-structured data. Recently, several sampling techniques have been proposed for the efficient training of GCNs and to improve the performance of GCNs on ML tasks. Specifically, the subgraph-based sampling approaches such as ClusterGCN and GraphSAINT have achieved state-of-the-art performance on the node classification tasks. These subgraph-based sampling approaches rely on heuristics -- such as graph partitioning via edge cuts -- to identify clusters that are then treated as minibatches during GCN training. In this work, we hypothesize that rather than relying on such heuristics, one can learn a reinforcement learning (RL) policy to compute efficient clusters that lead to effective GCN performance. To that end, we propose PolicyClusterGCN, an online RL framework that can identify good clusters for GCN training. We develop a novel Markov Decision Process (MDP) formulation that allows the policy network to predict ``importance" weights on the edges which are then utilized by a clustering algorithm (Graclus) to compute the clusters. We train the policy network using a standard policy gradient algorithm where the rewards are computed from the classification accuracies while training GCN using clusters given by the policy. Experiments on six real-world datasets and several synthetic datasets show that PolicyClusterGCN outperforms existing state-of-the-art models on node classification task.




Abstract:Model predictive control (MPC) is a popular approach for trajectory optimization in practical robotics applications. MPC policies can optimize trajectory parameters under kinodynamic and safety constraints and provide guarantees on safety, optimality, generalizability, interpretability, and explainability. However, some behaviors are complex and it is difficult to hand-craft an MPC objective function. A special class of MPC policies called Learnable-MPC addresses this difficulty using imitation learning from expert demonstrations. However, they require the demonstrator and the imitator agents to be identical which is hard to satisfy in many real world applications of robotics. In this paper, we address the practical problem of training Learnable-MPC policies when the demonstrator and the imitator do not share the same dynamics and their state spaces may have a partial overlap. We propose a novel approach that uses a generative adversarial network (GAN) to minimize the Jensen-Shannon divergence between the state-trajectory distributions of the demonstrator and the imitator. We evaluate our approach on a variety of simulated robotics tasks of DeepMind Control suite and demonstrate the efficacy of our approach at learning the demonstrator's behavior without having to copy their actions.